Blog:Ippolitov

Материал из SRNS
Перейти к: навигация, поиск

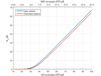
05.04.2016 Неожиданная работа временной части компенсатора

20160405 JS test diff harm band upd.png

Баг или фича?! Выясняем причину различия в коэффициенте подавления гармонической и полосовой помехи.

→ продолжить чтение…

04.03.2016 Принимай пополнение!

Получите, распишитесь...

04032016 cables.jpg

→ продолжить чтение…

02.02.2016 Испытания Octopus'a - февраль

Результаты измерений параметров Осьминога в феврале

→ продолжить чтение…

15.01.2016 Octopus-обмер

Записи о текущих испытаниях Осьминога

→ продолжить чтение…

Персональные инструменты
Пространства имён

Варианты
Действия
SRNS Wiki
Рабочие журналы
Приватный файлсервер
QNAP Сервер
Инструменты